流量儀表系列
- 液體流量計
- 空氣流量計
- 蒸汽流量計
- 孔板流量計
- V錐流量計
- 一體化孔板流量計
- 電磁流量計
- 渦街流量計
- 彎管流量計
- 金屬管浮子流量計
- 超聲波流量計
- 阿牛巴流量計
- 威力巴流量計
- 旋進旋渦流量計
- 渦輪流量計
- 玻璃轉子流量計
- 橢圓齒輪流量計
- 平衡流量計
- 楔形流量計
- 靶式流量計
- 熱式氣體質量流量計
- 旋翼式流量計
- 噴嘴氣體流量計
- 噴嘴流量計
- 三閥組
液位儀表系列
江蘇恒大儀表有限公司
聯系人:楊經理
手機:13915187193
電話:0517-86500226
傳真:0517-86800636
郵箱:jshdyb@163.com
地址:江蘇省金湖縣工業園區
超聲波流量計結構原理
日期:2022-11-09 點擊量:
      	1.流量計結構
超聲波流量計主要由信號處理單元、超聲換能器(探頭)、流量計表體等部分構成,如圖1 所示。其中信號處理單元接收探頭信號并將信息遠傳流量計算機;探頭通過換能器端口安裝于表體,負責收發聲波,并輸出電壓信號;流量計表體部分包括上下游直管段,上有超聲換能器端口、取壓口等。此外,壓力變送器、溫度變送器、色譜分析儀及流量計算機作為輔助儀表,用以測量現場數據。流量計算機利用現場數據計算介質工況流量,并將工況流量轉換為標況流量。

2.流量計原理
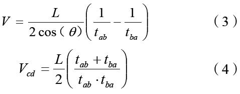
傳播時間差法氣體超聲流量計是通過測量高頻聲脈沖傳播時間得出氣體流量的速度式流量計,工作原理如圖2 所示。超聲脈沖在管道內逆流和順流沿斜線方向傳播,傳播速度與介質軸向平均流速有關,通過測量聲波傳播時間差,運用數值計算法計算工作條件下通過氣體超聲流量計的氣體軸向平均流速和流量。在充滿氣體的密閉管道中,超聲波傳感器(探頭)沿管壁安裝,直接與氣流接觸,2 個傳感器發射超聲波后由對方互為接收。圖2 中a、b 為2 個超聲波流量計換能器,聲道與管道傾斜夾角為θ,管道內徑為D,聲道長度為L,聲道距離為x。在一些流量計中采用了反聲道,此時聲脈沖在管壁上經歷一次或多次反射。

若管線內氣流無流動,聲波以相同的速度在管道沿聲道的2個方向傳播;若管線內介質流速大于0,聲波順氣流方向傳播速度較快,反之則較慢。其中,順氣流方向時間與逆氣流方向時間計算公式為:

式(1)(2)中:L 為聲道長度,m;Cd為聲波在氣體中的速度,m/s;V為氣體介質平均流速,m/s;θ為傾斜聲道與管道軸線的夾角,°。
由式(1)與式(2)可得氣體流速與聲速為:
 
      
		超聲波流量計主要由信號處理單元、超聲換能器(探頭)、流量計表體等部分構成,如圖1 所示。其中信號處理單元接收探頭信號并將信息遠傳流量計算機;探頭通過換能器端口安裝于表體,負責收發聲波,并輸出電壓信號;流量計表體部分包括上下游直管段,上有超聲換能器端口、取壓口等。此外,壓力變送器、溫度變送器、色譜分析儀及流量計算機作為輔助儀表,用以測量現場數據。流量計算機利用現場數據計算介質工況流量,并將工況流量轉換為標況流量。

2.流量計原理
傳播時間差法氣體超聲流量計是通過測量高頻聲脈沖傳播時間得出氣體流量的速度式流量計,工作原理如圖2 所示。超聲脈沖在管道內逆流和順流沿斜線方向傳播,傳播速度與介質軸向平均流速有關,通過測量聲波傳播時間差,運用數值計算法計算工作條件下通過氣體超聲流量計的氣體軸向平均流速和流量。在充滿氣體的密閉管道中,超聲波傳感器(探頭)沿管壁安裝,直接與氣流接觸,2 個傳感器發射超聲波后由對方互為接收。圖2 中a、b 為2 個超聲波流量計換能器,聲道與管道傾斜夾角為θ,管道內徑為D,聲道長度為L,聲道距離為x。在一些流量計中采用了反聲道,此時聲脈沖在管壁上經歷一次或多次反射。

若管線內氣流無流動,聲波以相同的速度在管道沿聲道的2個方向傳播;若管線內介質流速大于0,聲波順氣流方向傳播速度較快,反之則較慢。其中,順氣流方向時間與逆氣流方向時間計算公式為:

式(1)(2)中:L 為聲道長度,m;Cd為聲波在氣體中的速度,m/s;V為氣體介質平均流速,m/s;θ為傾斜聲道與管道軸線的夾角,°。
由式(1)與式(2)可得氣體流速與聲速為:
 
      
    	上一篇:孔板流量計工作原理及誤差補償方法
      下一篇:電磁流量計如何選用
    
    
    相關新聞
        - 2025-09-30液體流量計可以測量腐蝕性液體嗎?
- 2025-09-30孔板流量計的壓力損失大嗎?
- 2025-09-16液體流量計的精度受哪些因素影響?
- 2025-09-16液體流量計的測量范圍是多少?
- 2025-08-19大管道流量測量用插入式流量計還是管道式流量計?
 
  


