流量儀表系列
- 液體流量計
- 空氣流量計
- 蒸汽流量計
- 孔板流量計
- V錐流量計
- 一體化孔板流量計
- 電磁流量計
- 渦街流量計
- 彎管流量計
- 金屬管浮子流量計
- 超聲波流量計
- 阿牛巴流量計
- 威力巴流量計
- 旋進旋渦流量計
- 渦輪流量計
- 玻璃轉子流量計
- 橢圓齒輪流量計
- 平衡流量計
- 楔形流量計
- 靶式流量計
- 熱式氣體質量流量計
- 旋翼式流量計
- 噴嘴氣體流量計
- 噴嘴流量計
- 三閥組
液位儀表系列
江蘇恒大儀表有限公司
聯系人:楊經理
手機:13915187193
電話:0517-86500226
傳真:0517-86800636
郵箱:jshdyb@163.com
地址:江蘇省金湖縣工業園區
渦輪流量計的幾何參數計算
日期:2023-02-22 點擊量:
      	渦輪流量計的基本結構如圖1所示。 
 
 
當流體通過渦輪流量計時,流體動能使葉輪旋轉,流體流速越快,動能越大,葉輪轉速也越高。因此,測出葉輪轉數或轉速,就可測量流過管道的流量。傳感器將流量Q轉換成葉輪轉速?,信號檢出器把轉速?轉換成脈沖信號頻率ƒ,送入二次儀表進行顯示和計數。單位時間內的脈沖數和累積脈沖數分別反映了瞬時流量和累積流量。由于渦輪流量計的轉速以頻率信號輸出,所以可制成數字儀表,也便于與數控裝置相配合。
通過流量計的流量和葉輪引起的頻率關系為:
 
 
式中;qv表示瞬時體積流量;ƒ表示脈沖頻率;k表示儀表系數。
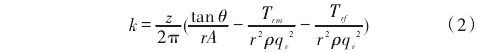
對于結構參數確定的渦輪流量計,在其穩定運行后,不同的流量對應唯--不同的轉速和頻率ƒ。因此,影響流量計精度的主要因素為儀表系數,其表達式為:
 
式中:z表示葉片數;θ表示葉片傾角;r表示葉輪半徑;A表示過流面積;ρ表示液體密度;qv表示瞬時體積流量;Tm表示摩擦力矩;Trf表示流動阻力矩。
儀表常數特性曲線如圖2所示。從圖2可以看出,儀表常數的線性范圍與標定系數K。的關系直接影響著流量計的精度。
 
 
流量計設計的初始參數如下:流量計公稱內徑為.101.6mm,流量范圍0~3m³/min,工作壓力40MPa,鉆井液密度1.2~1.3kg/m³,黏度50~60cSt。
渦輪流量計材料選用0Cr18Ni9不銹鋼,考慮到工作壓力為40MPa,設計壓力p≤0.4[σ]'φ,按厚壁圓筒進行計算,根據中徑公式和第一強度理論得出相應的筒體厚度為:
 
 
其中,D,表示圓筒內徑,mm;pc表示計算壓力,MPa;[σ]表示設計溫度下圓筒材料的許用應力,MPa;φ表示焊接接頭系數。
為了方便選取渦輪流量計參數,同時考慮到渦輪流量計的國家標準,選取公稱外徑為101.6mm的渦輪流量計,其余參數按經典取值表進行取值[5-1,其中葉片頂端間隙與管道半徑之比t=2.0097,葉輪輪轂半徑與葉輪葉片頂端半徑之比q=0.495,葉片均方根平均半徑位置的安裝角b=42.38°,葉片頂端處葉柵具有的實度s=1.254。
渦流流量計葉輪部分結構參數如圖3、圖4所示,其中Rk為葉輪輪轂半徑,mm;L為葉輪輪轂長度,mm;Rt為葉輪葉片頂端半徑,mm;R0為流量計管道半徑,mm;R1為葉輪旋轉軸半徑,mm。
 
 
渦輪流量計口徑大小不同,葉片數量也應不同。小口徑的流量計(D≤100mm),葉輪葉片數量通常為3~8片;大口徑的流量計(D>100mm;),葉輪葉片數則通常為10片以上5。根據流量計設計準則得出的參數如表1所示。
 
      
		 
 當流體通過渦輪流量計時,流體動能使葉輪旋轉,流體流速越快,動能越大,葉輪轉速也越高。因此,測出葉輪轉數或轉速,就可測量流過管道的流量。傳感器將流量Q轉換成葉輪轉速?,信號檢出器把轉速?轉換成脈沖信號頻率ƒ,送入二次儀表進行顯示和計數。單位時間內的脈沖數和累積脈沖數分別反映了瞬時流量和累積流量。由于渦輪流量計的轉速以頻率信號輸出,所以可制成數字儀表,也便于與數控裝置相配合。
通過流量計的流量和葉輪引起的頻率關系為:
 
 式中;qv表示瞬時體積流量;ƒ表示脈沖頻率;k表示儀表系數。
對于結構參數確定的渦輪流量計,在其穩定運行后,不同的流量對應唯--不同的轉速和頻率ƒ。因此,影響流量計精度的主要因素為儀表系數,其表達式為:

式中:z表示葉片數;θ表示葉片傾角;r表示葉輪半徑;A表示過流面積;ρ表示液體密度;qv表示瞬時體積流量;Tm表示摩擦力矩;Trf表示流動阻力矩。
儀表常數特性曲線如圖2所示。從圖2可以看出,儀表常數的線性范圍與標定系數K。的關系直接影響著流量計的精度。
 
 流量計設計的初始參數如下:流量計公稱內徑為.101.6mm,流量范圍0~3m³/min,工作壓力40MPa,鉆井液密度1.2~1.3kg/m³,黏度50~60cSt。
渦輪流量計材料選用0Cr18Ni9不銹鋼,考慮到工作壓力為40MPa,設計壓力p≤0.4[σ]'φ,按厚壁圓筒進行計算,根據中徑公式和第一強度理論得出相應的筒體厚度為:
 
 其中,D,表示圓筒內徑,mm;pc表示計算壓力,MPa;[σ]表示設計溫度下圓筒材料的許用應力,MPa;φ表示焊接接頭系數。
為了方便選取渦輪流量計參數,同時考慮到渦輪流量計的國家標準,選取公稱外徑為101.6mm的渦輪流量計,其余參數按經典取值表進行取值[5-1,其中葉片頂端間隙與管道半徑之比t=2.0097,葉輪輪轂半徑與葉輪葉片頂端半徑之比q=0.495,葉片均方根平均半徑位置的安裝角b=42.38°,葉片頂端處葉柵具有的實度s=1.254。
渦流流量計葉輪部分結構參數如圖3、圖4所示,其中Rk為葉輪輪轂半徑,mm;L為葉輪輪轂長度,mm;Rt為葉輪葉片頂端半徑,mm;R0為流量計管道半徑,mm;R1為葉輪旋轉軸半徑,mm。
 
 渦輪流量計口徑大小不同,葉片數量也應不同。小口徑的流量計(D≤100mm),葉輪葉片數量通常為3~8片;大口徑的流量計(D>100mm;),葉輪葉片數則通常為10片以上5。根據流量計設計準則得出的參數如表1所示。
 
      
    	上一篇:渦街流量計的應用案例
      下一篇:V錐流量計與其他節流裝置的比較
    
    
    相關新聞
        - 2025-09-30液體流量計可以測量腐蝕性液體嗎?
- 2025-09-30孔板流量計的壓力損失大嗎?
- 2025-09-16液體流量計的精度受哪些因素影響?
- 2025-09-16液體流量計的測量范圍是多少?
- 2025-08-19大管道流量測量用插入式流量計還是管道式流量計?
 
  


