流量儀表系列
- 液體流量計
- 空氣流量計
- 蒸汽流量計
- 孔板流量計
- V錐流量計
- 一體化孔板流量計
- 電磁流量計
- 渦街流量計
- 彎管流量計
- 金屬管浮子流量計
- 超聲波流量計
- 阿牛巴流量計
- 威力巴流量計
- 旋進旋渦流量計
- 渦輪流量計
- 玻璃轉子流量計
- 橢圓齒輪流量計
- 平衡流量計
- 楔形流量計
- 靶式流量計
- 熱式氣體質量流量計
- 旋翼式流量計
- 噴嘴氣體流量計
- 噴嘴流量計
- 三閥組
液位儀表系列
江蘇恒大儀表有限公司
聯系人:楊經理
手機:13915187193
電話:0517-86500226
傳真:0517-86800636
郵箱:jshdyb@163.com
地址:江蘇省金湖縣工業園區
鍋爐用孔板流量計的原理及結構?
日期:2023-03-28 點擊量:
      	電站鍋爐范圍內管道常用的流量計為孔板流量計,其原理和結構如下。 
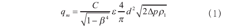
1.差壓式流量計原理
差壓式流量計工作原理是基于封閉管道中流體質量守恒(連續性方程)和能量守恒(伯努利方程)兩個定律。根據GB/T2624.1--2006《用安裝在圓形截面管道中的差壓裝置測量滿管流體流量第1部分:一般原理和要求》中的規定:以一次裝置(如孔板、噴嘴、文丘里管)安裝在充滿流體的管線中為依據確立的。裝人一次裝置后裝置的上游側與喉部或下游側之間產生一個靜壓差。根據該壓差的實測值和流體流動的特性以及裝置的使用環境,并假設該裝置與經過校準的一個裝置幾何相似且使用條件相同就可以確定流量。簡單而言就是根據流量與壓差的關系,通過測定壓差,從而計算出流量,關系式如下:
 
 
式中:
qm一質量流量;
C一流出系數;
β一直徑比;
?一膨脹系數;
d--節流孔或喉部直徑;
△p一壓差;
ρ一流體密度。
2.流量計結構與特點
按照一次裝置的不同,可將流量計分為孔板流量計、噴嘴流量計和文丘里管流量計。根據連接結構的不同可分為法蘭式流量計、焊接式流量計和一體式流量計。法蘭式流量計常為孔板流量計;焊接式流量計又分為焊接孔板和焊接噴嘴流量計;一體式流量計常為長頸噴嘴流量計。結構分別見圖(1)~圖(3)法蘭式流量計常用于主給水管道和低參數鍋爐的主蒸汽管道,焊接式流量計常用于高壓主給水和主蒸汽管道,一體式流量計主要用于高壓主蒸汽管道”。
 
 
除以上常見流量計結構外,近幾年發展起來的還有一種插人式流量計,又稱均速管流量計,對在用鍋爐的檢驗過程中,此種結構流量計較為少見。插人式流量計是依據皮托管測量原理測量均速管高、低壓端的壓力差,從而達到測量流量的目的,本質上也屬于差壓式流量計,與圓柱繞流原理關系密切2,見圖4。此種結構相比前幾種流量計安裝簡便、壓損小,且無對接焊口,但也存在輸出壓差低、容易堵塞、還沒有標準化等一些不足,目前正處于發展過程中。
 
       
		1.差壓式流量計原理
差壓式流量計工作原理是基于封閉管道中流體質量守恒(連續性方程)和能量守恒(伯努利方程)兩個定律。根據GB/T2624.1--2006《用安裝在圓形截面管道中的差壓裝置測量滿管流體流量第1部分:一般原理和要求》中的規定:以一次裝置(如孔板、噴嘴、文丘里管)安裝在充滿流體的管線中為依據確立的。裝人一次裝置后裝置的上游側與喉部或下游側之間產生一個靜壓差。根據該壓差的實測值和流體流動的特性以及裝置的使用環境,并假設該裝置與經過校準的一個裝置幾何相似且使用條件相同就可以確定流量。簡單而言就是根據流量與壓差的關系,通過測定壓差,從而計算出流量,關系式如下:
 
 式中:
qm一質量流量;
C一流出系數;
β一直徑比;
?一膨脹系數;
d--節流孔或喉部直徑;
△p一壓差;
ρ一流體密度。
2.流量計結構與特點
按照一次裝置的不同,可將流量計分為孔板流量計、噴嘴流量計和文丘里管流量計。根據連接結構的不同可分為法蘭式流量計、焊接式流量計和一體式流量計。法蘭式流量計常為孔板流量計;焊接式流量計又分為焊接孔板和焊接噴嘴流量計;一體式流量計常為長頸噴嘴流量計。結構分別見圖(1)~圖(3)法蘭式流量計常用于主給水管道和低參數鍋爐的主蒸汽管道,焊接式流量計常用于高壓主給水和主蒸汽管道,一體式流量計主要用于高壓主蒸汽管道”。
 
 除以上常見流量計結構外,近幾年發展起來的還有一種插人式流量計,又稱均速管流量計,對在用鍋爐的檢驗過程中,此種結構流量計較為少見。插人式流量計是依據皮托管測量原理測量均速管高、低壓端的壓力差,從而達到測量流量的目的,本質上也屬于差壓式流量計,與圓柱繞流原理關系密切2,見圖4。此種結構相比前幾種流量計安裝簡便、壓損小,且無對接焊口,但也存在輸出壓差低、容易堵塞、還沒有標準化等一些不足,目前正處于發展過程中。
 
       
    	上一篇:流量計運行和檢定系統?
      下一篇:渦街流量計的安裝
    
    
    相關新聞
        - 2025-09-30液體流量計可以測量腐蝕性液體嗎?
- 2025-09-30孔板流量計的壓力損失大嗎?
- 2025-09-16液體流量計的精度受哪些因素影響?
- 2025-09-16液體流量計的測量范圍是多少?
- 2025-08-19大管道流量測量用插入式流量計還是管道式流量計?
 
  


